
365英国上市公司(武汉)BESIII团队发表首篇主导的合作组论文
2023年5月18日,《物理评论D》(Phys. Rev. D 107 (2023) 092007)发表了由365英国上市公司(武汉)北京谱仪III团队(简称CUG-BESIII)主导完成的η→π+π−π0和η→π0π0π0的研究工作。这是2021年加入BESIII合作组以来,首篇由地大团队主导完成的合作组论文。同时,CUG-BESIII团队与中国科公司高能物理研究所团队合作,主导完成了η′→ηπ0π0的研究工作,首次报到了在η′→ηπ0π0中观察到的cusp效应。研究结果于2023年2月24日发表在《物理评论快报》(Phys. Rev. Lett. 130 (2023) 081901)。
对轻介子衰变的实验研究是理解量子色动力学(QCD)在非微扰区的重要手段和方法。基于BESIII采集的100亿J/ψ事例,我们精确测量了η→π+π−π0和η→π0π0π0衰变矩阵元参数,验证了来自高阶项的贡献。η→π+π−π0的测量结果与散射理论、NNLO的手征微扰理论计算结果一致,而η→π0π0π0的测量结果与世界平均测量值之间有2.6s的偏差。此外,该工作对η→π+π−π0中的可能的C破坏效应进行了研究。η强衰变的动力学研究将为相关的唯象模型提供实验检验,对理解低能QCD的基本性质有重要的指导意义。

图1:η→π+π−π0衰变动力学的精确测量。
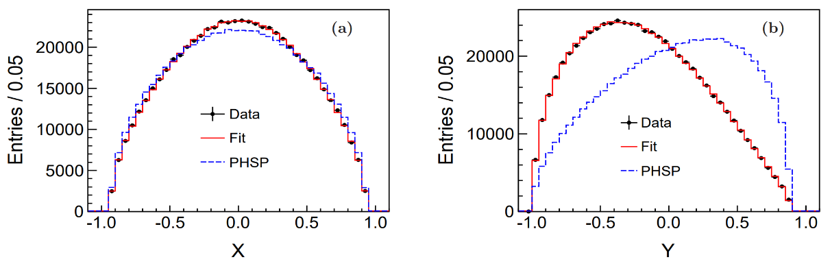
π-π和K-π散射的研究是强相互作用领域的经典课题,对手性有效场论的发展有着重要作用,也为格点QCD提供重要的实验检验。理论上,来自π+π−→π0π0 散射S波的cusp效应在η′→ηπ0π0中有相当大的贡献,这将为确定π-π散射长度提供一种新方法。但实验上一直未在η′衰变中观测到该效应。基于BESIII采集的100亿J/ψ事例,在非相对论有效场论(NREFT)的框架内进行了达利兹图分析,首次观测到η′→ηπ0π0衰变中的cusp效应,这将为探索π-π相互作用提供了一种新的途径,进而揭示低能量QCD的基本性质,为手性有效场论进行重要的检验。而在η→π0π0π0衰变中的目前没有观测到明显的cusp效应。


图2:(左图)η→π0π0π0中没有观测到明显的cusp效应。(右图)η′→ηπ0π0中首次观测到明显的cusp效应。
BESIII实验是运行在北京正负电子对撞机上的通用探测谱仪,是国际上唯一运行在陶粲能区的大型高能物理实验研究装置,实验合作组由来自16个国家76家单位超过500余位科学家组成。自2009年取数以来,BESIII合作组已投稿500余篇论文,取得了一批在国际上有重要影响的研究成果, 使我国在高能物理前沿占有了一席之地。2021年7月365英国上市公司(武汉)申请成为了北京谱仪III国际合作组成员,截止目前已参与署名论文45篇,其中有5篇PRL。按照国际高能物理实验惯例,合作组论文由全体成员署名,按作者姓氏的英文字母顺序排序,次序不表明贡献大小。
相关链接:
PRL:https://journals.aps.org/prl/abstract/10.1103/PhysRevLett.130.081901
PRD:https://journals.aps.org/prd/abstract/10.1103/PhysRevD.107.092007